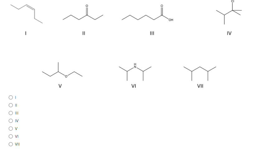
Which Compound Is Most Consistent With the Following Mass Spectrum
100 - 80 60- Relative Intensity 40 20- 0 mm 20 30 50 80 90 100 110 120 70 mz l II lll IV V VI VII. Solved by verified expert.
 		 		 		
 	Solved Which Compound Is Most Consistent With The Following Chegg Com 	
A The molecular ion peak has mz 116 b The base peak is at mz 59.
. Which compounds is most consistent with the following mass spectrum. Which compound is most consistent with the following mass spectrumGMU 2020 100 80 60 - Relative Intensity 40 20 om 25 50 75 Hprofit 100 mz 125 150 175 OH 1 11 IV V VI VII OI O 11 O III OIV OV O VI O VII. Which compound is most consistent with the following mass spectrumGMU 2020 100 80 60 Relative Intensity 20 0 10 F TTTT 20 30 40 SO 60 70 80 90 100 0 10 20 30 40 50 70 80 60 mz 90 100 OH III IV VI VII OT O 100 80 Relative Intensity 20- 25 50 75 Trottern 100 125 150 175 100 80 60 Relative Intensity 40 20 o 20 40 09 80 100 MVZ.
The base peak in a mass spectrum corresponds to the most stable fragment. Try Numerade Free for 7 Days. 580 1000 CILICIL Molecular Weight.
C The compound is composed of C H and O atoms. Propose a structure for a compound that is consistent with the following data. 100 80 1 L 40 20 25 100 mz 125 150 175 Get the answer to your homework problem.
Mass fragi gmentation of 2-ethoxybutane CH CH2 Molecular Weight. Two signals at 112 and 114 amu C. All tutors are evaluated by Course Hero as an expert in their subject area.
Which of the following structures is consistent with the mass spectrum shown below. Which of the following structures is consistent with a compound that displays a molecular ion peak at 56. The unique concept which eliminates all the other molecules is the molecular ion which is predicted by the molar mass of the molecule.
D The IR spectrum shows a strong absorbance at 3257 cm-1. The molar masses of all the molecules is far. A signal at 96 amu B.
The base peak in a mass spectrum corresponds to the most stable fragment. The given mass spectra belongs to compound III View the full answer Transcribed image text. Would you observe in the mass andor infrared spectrum of the following compound.
Molecule number I is the molecule which is consistent with the mass spectrum. 462 The natural abundances of chlorines two major isotopes are 35Cl 755 and 37Cl 245. 3 Which compounds is most consistent with the following mass spectrum.
 		 		 		
 	Solved Which Compound Is Most Consistent With The Following Mass Spectrum Gmu 2020 100 So 9 Course Hero 	
 		 		
 		
 	Solved For The Following Mass Spec Data Circle The Chegg Com 	
 		 		 		
 	Solved Q Which Compound Is Most Consistent With The Following Mass Spectrum Course Hero 	
 		 		 		
 	Solved Which Compound Is Most Consistent With The Following Chegg Com 	
 		 		
 		
 	Solved The Following Mass Spectrum Belongs To Compound Of Molecular Formula C6huo Its Ir Spectrum Exhibits Strong Absorption 1720cm And 1680cm Deduce The Most Likely Structure And Perform The Possible Mass Fragmentation Pattern 	
 		 		 		
 	Solved 2 Which Compounds Is Most Consistent With The Chegg Com 	
 		 		 		
 	Solved Which Compound Is Most Consistent With The Following Chegg Com 	
 		 		 		
 	Solved 5 Which Compounds Is Most Consistent With The Chegg Com 	
 		 		 		
 	Solved Which Compound Is Most Consistent With This Infrared Chegg Com 	
 		 		 		
 	Solved Which Compound Is Most Consistent With The Following Chegg Com 	
 		 		 		
 	Solved Q Which Compound Is Most Consistent With The Following Mass Spectrum Course Hero 	
 		 		
 		
 	Solved Chem2380 Chapter 15 Homework 1 Which Of The Chegg Com 	
 		 		 		
 	Solved Which Compound Is Most Consistent With The Following Chegg Com 	
 		 		 		
 	Solved Which Compound Is Most Consistent With The Following Chegg Com 	
 		 		
 		
 	Solved 15 Which Alkyl Halide Is Most Consistent With The Chegg Com 	
 		 		 		
 	Solved Which One Of The Following Compounds Is Consistent With The Mass Course Hero 	
 		 		 		
 	Which Compound Is Most Consistent With The Following Chegg Com 	


Comments
Post a Comment